(奇妙的創造)微笑的科學
香港 陳永康
神的創造高峰是按照祂自己的形象造人,亞當形體由塵土所造,神將生氣吹進他鼻孔裡,他便成為有靈的活人。人活在世上不單要照顧保養自己身體的健康,維持心靈的健康亦是同等重要。因亞當犯罪,罪的權勢影響我們的生命,人活在世上有苦難,在神恩典之外,人易失去平安。心靈有平安,生活便有力量,人懂得如何控制情緒,在順境之時,固然不可樂極忘形,遇上人生磨練與困境,也不要落入過分憂鬱的低谷中。誠如聖經所啟示:

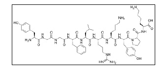
喜樂的心,乃是良藥(箴言17章22節)。要常保持喜樂的心,心靈健壯是有百病不侵的免疫能力。近代生理和心理學研究發現,心情保存開朗,臉上常帶笑容,能刺激我們的大腦,會使腦下垂體和丘腦下部份分泌出稱為安多酚(endorphin)的氨基化合物,這類生理活性分子是由十個氨基酸組成的多肽,其中的一成份的結構如下圖所示。這成份的出現,可有助於舒緩生理反應,能使人開心又有鎮痛功效。除了微笑可以刺激大腦產生這物質,人也可透過進食一些食物,如酒精、黑巧克力或辛辣的食物去刺激大腦製造這奇妙的物質。適量的運動是生活的好習慣,有效使身體產生安多酚,難怪有些喜歡每天緩步跑的人,好像成癮一樣,全因享受跑步過程身體分泌安多酚而帶來快樂的感覺。

據研究發現小孩子每天平均會笑三百次以上,而成年人可能因要面對壓力,每天發出笑聲只在五次之內。聖經鼓勵我們要保持有小孩子的心態:『我實在告訴你們,你們若不回轉,變成小孩子的樣式,斷不得進天國』(太十八3)。所以我們要靠主以無憂無慮心態去度過地上每天的生活;還要爭取每次開懷大笑的機會,使安多酚的分子能在我們的體內出現並活動,發生療效。
這化學物質的功能有些像嗎啡(morphine)的藥效,能與中樞神經細胞膜上的蛋白載體結合,從而將傳遞痛楚信息的路線截斷,痛楚的感覺因此而消失。而這物質與嗎啡類強力止痛劑不同之處是:安多酚是由人受刺激而誘導大腦製造出來的天然生理活性的小分子,而嗎啡類的物質是由罌粟花類植物提煉出來,亦可透過人工全合成或半合成而大量生產。幾十年以前已被發展成有效的止痛藥,直至今天,對癌症晚期的病人都是不可或缺的止痛藥;但濫用或長期服用嗎啡類的藥物,會讓使用者產生成癮的倚賴性,並對身體多種器官有嚴重的損害。嗎啡分子和安多酚分子活性部份的結構都極其相似,他們都能與神經細胞表面的蛋白載體結合,從而產生生化反應,斷絕傳遞痛楚的信息,顯出止痛的效用(如25頁圖所顯示)。
神透過人的生理機能生產了微量的安多酚,配合精緻的體內調控機制,在我們身體內發揮奇妙的功效,與非生理衍生的物質或在實驗室製造出來的嗎啡類物質相比,效果優劣立見。前者只有藥效而並無不良的副作用,後者雖然是重病患者的恩物,但有嚴重的副作用和後遺症,它也是罪惡集團利用謀利的犯罪工具。

